Application Consulting
Scale development and reference measurements
Most substances are measurable. We will be happy to assist you in finding your specific measuring scale and create reference material for your required application.
Our long-standing expertise lies in our research-driven approach to material analysis and liquid substance characterization. To find the correct measuring scale for your application, our in-house team of engineers can customize measuring scales. In our SCHMIDT + HAENSCH lab, we determine refractive indexes (RI) but also more specific measuring values such as concentration of solved substances and many more.
If you cannot find your application here, talk to us!
When developing a new measurement technique, it is crucial to find the right application scale for your device. Our in-house lab service determines your specific measuring scale, which is then translated and programmed into your instrument. This will ensure reliable and repeatable measurements in the long run.

The density of liquids is used in a broad variety of applications. SCHMIDT + HAENSCH offers the precise determination of liquid density at a specific temperature as a service to our customers. We generate reference material for your internal measurement validation and checks which are independent of temperature of your density meters. This is always a useful maintenance tool to verify that your instruments are still working correctly. Furthermore, we can measure your own samples to validate your measuring results.
Upon your request and depending on the wavelength, SCHMIDT + HAENSCH can measure your samples with a reference polarimeter. This service will help you determine which polarimeters fits your needs and which rotating angles or optical activities you can expect. If you are already using one or more polarimeters, you can control your instrument with measuring results from SCHMIDT + HAENSCH.

We offer two methods of liquid color determination: Spectrophotometry and colorimetry. These methods can analyze samples of chemical substances and objectively and repeatedly verify colors of beverages, cosmetics, and even pharmaceuticals.
SCHMIDT + HAENSCH can measure the light-absorbing properties of substances in quantitative analysis of absorption and transmittance of a certain substance (e.g. chemistry, clinical applications, industrial applications etc.) or alternatively measure the reflectance color at a specific wavelength (mostly used for sugar applications).
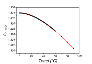
The refractive index is used for a broad range of applications. SCHMIDT + HAENSCH can determine the refractive index at a specific temperature and wavelength as a service for our customers. You can generate a reference material for checks independent of temperature of your refractometers to verify if your instruments are still working correctly. Furthermore, we can measure your own samples to validate your measuring results.

With our wide range of sophisticated analyses of liquid and solid samples, the SCHMIDT + HAENSCH lab is always at your disposal. You may have the measuring results of your own samples verified – or make primary measurements as reference data.
Request an application service
Get in touch with us